- [產品]-->礦用隔爆變壓器系列
- [產品]-->高性能通用變頻器
- [產品]--> 數字智能電機軟起動器
產品推薦
產品分類
聯系方式
- 聯系人:林子龍
- 郵 箱:webmaster@sh-jh.com
- 地 址:上海市閔行區浦星公路528號
- 電 話:021-62179415 021-62718811
- 傳 真:021-63588119
- 網 址:http://www.sh-jh.com
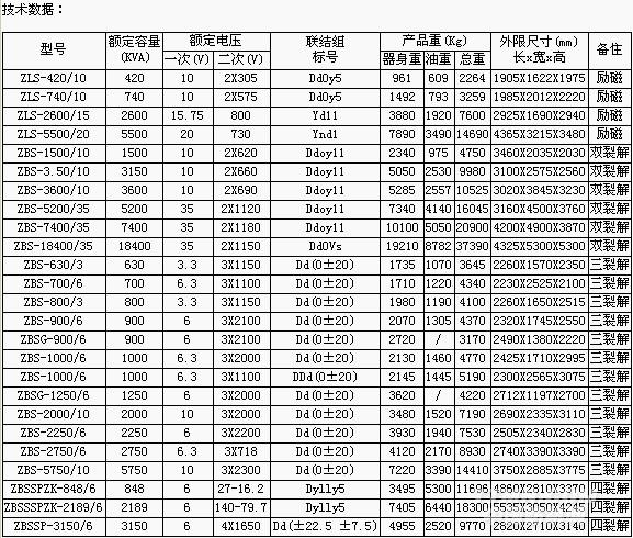
變壓器
發布時間:2012-06-05
SG三相干式隔離.OSG三相自耦變壓器
該系列變壓器為戶內空氣自冷式,適用于交流50HZ (60HZ特殊)電壓至660V的電路中,用于電源隔離,低壓輸變電等場合。
本產品的高、低電壓,可有用戶任意選擇,但不大于660V。
技術指標及特性:
•輸入線電壓:220V、380V、400V、660V
•輸出線電壓:110V、127V、200V、208V、220V、380V、400V、460V
•輸出精度:±1%
•輸出空載電流:≤2%
•耐溫等級:F級,155℃
•工作耐壓:施加3000V電壓1分鐘無擊穿與飛弧
•耐壓強度:2MΩ
•頻率:50HZ、60HZ
OSG型三相干式升壓變壓器(隧道工程專用)變壓器概況:
隨著隧道工程的進展,隧道掘進深度越來越深,使作業點與供電點的距離越來越遠,引起作業點的壓降越來越大,造成掘進機不能正常工作。為此,本公司從解決本類課題出發,開發了隧道工程專用的變壓器。現已在中鐵四局、中鐵十四局、水電六局、水電十局、中水十局等單位使用,均得到了令人滿意的成功經驗。
技術指標及特性:
額定容量:根據工程實際需要
輸入電壓:三相380V
輸出電壓:三相420V、440V、470V、500V
耐溫等級:F級,155℃
噪 音:<45db
頻 率:50Hz
工頻耐壓:施加3000V電壓1分鐘無擊穿無飛弧
絕緣強度:2MΩ
輸出空載電流: <2%
中頻爐變壓器
概述:
中頻電爐用整流變壓器是為中頻電爐提供整流電源的專用變壓器,根據中頻電爐的負荷特點,該變壓器具有過載能力強,諧波電流少,冷卻效果好等特點。
電化學電解用整流變壓器
.jpg)
裂解、勵磁用整流變壓器
傳動用整流變壓器
.jpg)
鋁箔化成專用調壓整流變壓器
用途:本產品主要用于鋁箔行業,作整流電源變壓器用。也可用于電解、冶煉等作直流調壓電源。
靜電除塵變壓器
概述:
靜電除塵變壓器主要由二部分組成,其一是除塵器本體,在這個裝置內完成凈化氣體的過程,另一部分是產生直流高壓的裝置,稱為靜電除塵變壓器。
用途:
靜電除塵變壓器主要用于消除或減少粉塵對環境的污染。
結構特征:
靜電除塵變壓器是由一臺單相整流變壓器和一臺橋式整流器組成。二者合裝在同一油箱中時稱為臺體式,二者分裝在不同的油箱中時稱為分體式。合體式有戶內、外型二種,而分體式只有戶內型一種。
型號含義:
訂貨須知:
1、產品型號
2、額定容量
3、直流電壓
4、直流電流
5、工作環境






